포스팅 목차
오라클 SQL 함수(Oracle SQL Function) 목록 리스트 링크
o CORR_*
The CORR_* functions are:
CORR_S
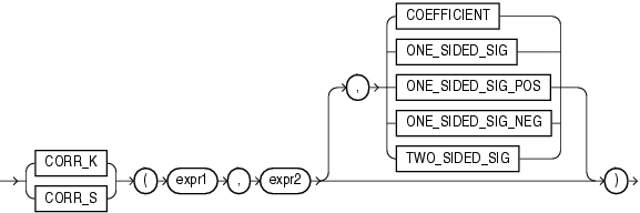
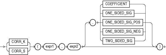
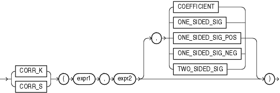
문법
correlation::=

목적
CORR 함수는 (CORR 함수 참조)는 Pearson's 상관계수를 계산한다. CORR_*함수는 비모수 또는 순위 상관을 지원한다.
이러한 함수를 사용하면, 순서 척도화 된 식 사이의 상관계수를 구한다.(값의 순서부터 가능한 곳) 상관 계수는 -1~1 사이의 값을 취한다. 1은 완전환 정상관을, -1은 완전한 역의 상관, 0에 가까운 값은 상관이 없음을 나타낸다.
이 함수는 인수로써 임의의 수치 데이터형 또는 암묵적으로 수치 데이터형으로 변환 가능한 비수치 데이터를 취한다. 오라클 데이터 베이스는 수치 우선순위가 가장 높은 인수를 판단하여, 나머지 인수를 그 데이터형으로 암묵적으로 변환하고, 계산을 실행하여 NUMBER를 반환한다.
expr1과 expr2는 분석 대상의 2개의 변수이다. 3번째 인수는 VARCHAR2형태의 반환되는 값이다. 만약 3번째 인수를 생략하면, 기본값은 COEFFICIENT이다. 반환되는 값의 의미는 다음 표를 참조.
Table 7-2 CORR_* Return Values
|
Return Value |
Meaning |
|---|---|
COEFFICIENT |
상관계수 |
ONE_SIDED_SIG |
상관의 한쪽 유의성 |
TWO_SIDED_SIG |
상관의 양쪽 유의성 |
참고
예제
- CORR_S 예제
다음 예제는 스피어만의 순위 상관계수를 계산한다.
| Oracle Program |
SELECT CORR_S(salary, commission_pct, 'COEFFICIENT') coefficient,
CORR_S(salary, commission_pct, 'TWO_SIDED_SIG') two_sided_p_value
FROM hr.employees;
| Results |
COEFFICIENT TWO_SIDED_P_VALUE
----------- -----------------
.735837022 4.7362E-07
- CORR_K 예제
다음 예제는 Kendall's tau-b 순위 상관 계수를 구한다.
| Oracle Program |
SELECT CORR_K(salary, commission_pct, 'COEFFICIENT') coefficient,
CORR_K(salary, commission_pct, 'TWO_SIDED_SIG') two_sided_p_value
FROM hr.employees;
| Results |
COEFFICIENT TWO_SIDED_P_VALUE
----------- -----------------
.603079768 3.4702E-07
--------------------------------------------
| 오라클 SQL 함수(Oracle SQL Function) 목록 리스트 링크 |
| [SQL, Pandas, R Prog, Dplyr, SQLDF, PANDASQL, DATA.TABLE] SQL EMP 예제로 만나는 테이블 데이터 처리 방법 리스트 링크 링크 |
반응형
'오라클 게시판 > 오라클 함수' 카테고리의 다른 글
| 【오라클(Oracle) SQL 함수】 COSH 함수 (0) | 2018.11.14 |
|---|---|
| 【오라클(Oracle) SQL 함수】 COS 함수 (0) | 2018.11.14 |
| [오라클함수] CORR 함수 (0) | 2018.11.14 |
| 【오라클(Oracle) SQL 함수】 CONVERT 함수 (0) | 2018.11.13 |
| [오라클함수] CONCAT 함수 (0) | 2018.11.13 |
댓글