포스팅 목차
25. BETA
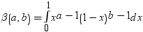
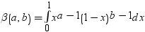
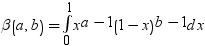
BETA 함수는 베타 함수의 값을 반환한다.
| Category: | 수 학 |
문 법
BETA(a,b) |
Arguments
- a 는 첫번째 shape 모수(a>0)
- b 는 두번째 shape 모수(b>0)
참 고

예 제
다음 예제는 베타 함수의 값을 계산한다.
| SAS Statements |
data BETA;
x=beta(5,3);
run;
| Results |
OBS x
1 .009523810
| SAS 함수(SAS Function) 리스트 링크 |
| 엑셀(EXCEL)과 SAS 함수(SAS Function) 비교 리스트 링크 |
| SAS 데이터 스텝 구문 리스트(SAS Data Step Statement) |
반응형
'SAS > SAS 함수' 카테고리의 다른 글
| 【SAS 함수】 27. BLSHIFT 함수 (0) | 2018.11.17 |
|---|---|
| 【SAS 함수】 26. BETAINV 함수 (0) | 2018.11.17 |
| 【SAS 함수】 24. BAND 함수 (0) | 2018.11.16 |
| 【SAS 함수】 23. ATTRN 함수 (0) | 2018.11.16 |
| 【SAS 함수】 22. ATTRC 함수 (0) | 2018.11.16 |
댓글