포스팅 목차
오라클 SQL 함수(Oracle SQL Function) 목록 리스트 링크
o DECOMPOSE
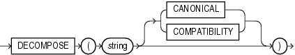
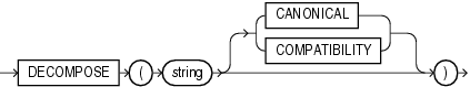
- 문법
decompose::=

- 목적
DECOMPOSE함수는 UNICODE 문자에 유용하다. DECOMPOSE함수는 임의의 데이터형의 문자열을 입력과 같은 문자 세트로 분해 후의 UNICODE 문자열을 반환한다.
예를 들어, O umlaut(모음 변이) 코드 포인트는 Umlaut 코드 포인트에 따르는 "o" 코드 포이트와 같이 반환된다.
- string은 CHAR, VARCHAR2, NCHAR, NVARCHAR2, CLOB, NCLOB의 데이터 형이다.
- CANONICAL은 원천 문자열을 재구성(예를 들어 COMPOSE함수를 이용하여)을 허용한 표준적인 분해를 야기한다. 이것이 기본.
- COMPATIBILITY는 호환 모드에서 분해를 야기한다. 이 모드에서, 재구성은 가능하지 않다. 이 모드는 예를 들어서, 반각과 전각 katakana문자 분해를 하는 경우와 같은, 재구성이 외적 서식 또는 스타일 정보 없이 바람직하지 않은 곳에 유용하다.
- 예제
다음 예제는 문자열 "Châteaux"를 요소 코드 포인트로 분해한다.
| Oracle Program |
SELECT DECOMPOSE ('Châteaux') FROM DUAL;
| Results |
DECOMPOSE
---------
Cha^teaux
--------------------------------------------
| 오라클 SQL 함수(Oracle SQL Function) 목록 리스트 링크 |
| [SQL, Pandas, R Prog, Dplyr, SQLDF, PANDASQL, DATA.TABLE] SQL EMP 예제로 만나는 테이블 데이터 처리 방법 리스트 링크 |
반응형
'오라클 게시판 > 오라클 함수' 카테고리의 다른 글
| 【오라클(Oracle) SQL 함수】DEPTH 함수 (0) | 2018.11.18 |
|---|---|
| 【오라클(Oracle) SQL 함수】 DENSE_RANK 함수 (0) | 2018.11.17 |
| [오라클 함수] DECODE 함수 (0) | 2018.11.17 |
| 【오라클(Oracle) SQL 함수】 DBTIMEZONE 함수 (0) | 2018.11.17 |
| [오라클 함수] CV 함수 (0) | 2018.11.17 |
댓글