포스팅 목차
o GAMMADIST 함수
목 적 :
GAMMADIST 함수는 감마 분포의 확률밀도함수와 누적분포함수 값을 반환한다.
문 법
| - 엑 셀 : GAMMADIST(x, a, b, cm=1) , GAMMADIST(x, a, b, cm=0) - SAS : CDF(’GAMMA’, x, a, b) , PDF(’GAMMA’, x, a, b) |
범 주 : 호환성 함수
참 고
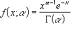
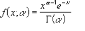
감마 확률 밀도 함수는 다음과 같이 계산된다.

표준 감마 확률 밀도 함수는 다음과 같이 계산된다.

관련 함수
| 함수명 | 함수내용 |
| FACTDOUBLE | 사용자가 지정한 숫자(number)의 이중 계승 값을 반환한다. |
| GAMMA.DIST | 감마 분포의 확률밀도함수와 누적 분포 함숫값을 반환한다. |
| GAMMADIST | 감마 분포의 확률밀도함수와 누적분포함수 값을 반환한다. |
| GAMMA | 감마 함숫값을 반환한다. |
| GAMMA.INV | 감마 누적 분포의 역함수 값을 반환한다. |
| GAMMAINV | 감마 누적 분포의 역함수 값을 반환한다. |
| GAMMALN | 감마 함수 Γ(x)의 자연로그 값을 반환한다. |
| GAMMALN.PRECISE | 감마 함수 Γ(x)의 자연로그 값을 반환한다. |
예 제
다음 예제는 PDF와 CDF 함수의 GAMMA 인수를 사용하여서 지정한 인수를 기준으로 감마 분포 값을 반환한다.
| SAS Program |
DATA GAMMADIST;
A2 = 10.00001131; * 분포를 계산할 기준 값.;
A3 = 9 ; * 분포에 대한 alpha 매개 변수.;
A4 = 2 ; * 분포에 대한 beta 매개 변수.;
VAR1 = PDF('GAMMA',A2,A3,A4);
VAR2 = CDF('GAMMA',A2,A3,A4);
PUT VAR1= VAR2=;
RUN;
| Results |
OBS A2 A3 A4 VAR1 VAR2
1 10.0000 9 2 0.032639 0.068094

--------------------------------------------
| 엑셀(EXCEL)과 SAS 함수(SAS Function) 비교 리스트 링크 |
| SAS 함수(SAS Function) 리스트 링크 |
반응형
'통계프로그램 비교 시리즈 > 엑셀과 SAS 함수' 카테고리의 다른 글
| 【엑셀(Excel)과 SAS함수】 GAMMALN 함수 (0) | 2021.09.21 |
|---|---|
| 【엑셀(Excel)과 SAS함수】 GAMMAINV 함수 (0) | 2021.09.21 |
| 【엑셀(Excel)과 SAS함수】 GAMMA.INV 함수 (0) | 2021.09.21 |
| 【엑셀(Excel)과 SAS함수】 GAMMA.DIST 함수 (0) | 2021.09.21 |
| 【엑셀과 SAS함수】 GAMMA 함수 (0) | 2021.09.21 |
댓글