포스팅 목차
오라클 SQL 함수(Oracle SQL Function) 목록 리스트 링크
o ATAN2
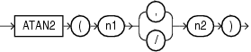
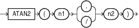
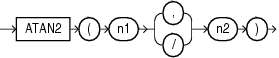
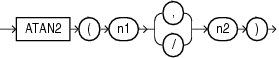
문 법
atan2::=

목 적
ATAN2(n1, n2)은 atan2(n1/n2)와 동일하며, n1/n2의 역탄젠트(아크 탄젠트, arc tangent) 값을 반환한다.
인수 n의 범위는 별도의 제한이 없고, n1과 n2의 부호에 따라 -pi~pi(라디안)의 범위 값을 반환한다. ATAN2(n, m)은 ATAN(n/m)과 같은 표현이다.
이 함수는 임의의 수치 데이터형 또는 암묵적으로 수치 데이터형으로 변환 가능한 비수치 데이터형을 인수로서 취한다. 인수가 BINARY_FLOAT 또는 BINARY_DOUBLE인 경우 함수는 BINARY_DOUBLE을 반환합니다. 그렇지 않으면 이 함수는 NUMBER를 반환한다.
관련 함수
| 함수명 | 함수내용 |
| ACOS | n의 역코사인(arc cosine) 값을 반환한다. |
| ASIN | n의 역사인(arc sine) 값을 반환한다. |
| ATAN | 인수 n의 역 탄젠트(arc tangent) 값을 반환한다. |
| ATAN2 | ATAN2(n, m)은 atan2(n/m)과 같으며, n/m의 역탄젠트(arc tangent) 값을 반환한다. |
| COS | 파라미터 n(라디안으로 표현되는 각도)의 코사인 값을 반환한다. |
| COSH | 파라미터 n(라디안으로 표현되는 각도)의 쌍곡 코사인 값(hyperbolic cosine)을 반환한다. |
| SIN | 인수 n의 사인(sine) 값을 반환한다.(라디안으로 표현되는 각도) |
| SINH | 인수 n의 쌍곡선 사인(hyperbolic sine)을 반환한다. |
| TAN | 인수 n의 탄젠트(tangent) 값을 반환한다.(라디안으로 표현되는 각도) |
| TANH | 인수 n의 쌍곡선 탄젠트(hyperbolic tangent)를 반환한다. |
패키지 함수 비교 (Oracle, Pandas, R Prog, Dplyr, Sqldf, Pandasql, Data.Table)
예 제
다음 예제는 .3과 .2의 arc tangent 값을 반환한다.
| Oracle Program |
SELECT ATAN2(.3, .2) "Arc_Tangent2"
FROM DUAL;
| Results |
Arc_Tangent2
------------
.982793723
| 오라클 SQL 함수(Oracle SQL Function) 목록 리스트 링크 |
| [SQL, Pandas, R Prog, Dplyr, SQLDF, PANDASQL, DATA.TABLE] SQL EMP 예제로 만나는 테이블 데이터 처리 방법 리스트 링크 |
2024.01 수정
반응형
'오라클 게시판 > 오라클 함수' 카테고리의 다른 글
| 【오라클(Oracle) SQL 함수】 BFILENAME 함수 (0) | 2018.11.09 |
|---|---|
| 【오라클(Oracle) SQL 함수】 AVG 함수 (0) | 2018.11.09 |
| 【오라클(Oracle) SQL 함수】 ATAN 함수 (0) | 2018.11.09 |
| 【오라클(Oracle) SQL 함수】 ASCIISTR 함수 (0) | 2018.11.09 |
| 【오라클(Oracle) SQL 함수】 ASCII 함수 (0) | 2018.11.09 |
댓글