포스팅 목차
o NEGBINOM.DIST 함수
목 적 :
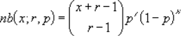
NEGBINOM.DIST 함수는 음 이항 분포 확률 값을 반환한다.

x는 number_f, r은 number_s, p는 probability_s이다.
문 법
| - 엑 셀 : NEGBINOM.DIST(number_f,number_s,probability_s,cumulative) - SAS : PDF(’NEGBINOMIAL’, nf, p, ns) |
범주 : 통계 함수
관련 함수
| 함수명 | 함수내용 |
| BINOM.DIST | 이항 분포의 확률값과 누적확률값을 반환한다. |
| BINOM.DIST.RANGE | 이항 분포를 사용한 시행 결과의 확률을 반환한다. |
| BINOM.INV | 누적 이항 분포값이 기준치 이상이 되는 값 중 최솟값을 반환한다. |
| HYPGEOM.DIST | 초기하 분포의 확률 값을 반환한다. |
| NEGBINOM.DIST | 음 이항 분포 확률 값을 반환한다. |
| POISSON.DIST | 포아송 확률 분포의 확률밀도함수와 누적분포함수 값을 반환한다. |
예제
다음 예제는 PDF와 CDF 함수의 NEGBINOMIAL 인수를 사용하여서 음이항 분포 함수의 값을 반환한다.
| SAS Program |
DATA NEGBINOM_DIST;
A2 = 10; * 실패 횟수.;
A3 = 5; * 성공 횟수 임계값.;
A4 = 0.25; * 성공 확률.;
* 음 이항 확률 분포값을 반환.;
VAR1 = PDF('NEGBINOMIAL', A2, A4, A3);
* 음 이항 누적 분포값을 반환.;
VAR2 = CDF('NEGBINOMIAL', A2, A4, A3);
PUT VAR1= VAR2=;
RUN;
| Results |
OBS A2 A3 A4 VAR1 VAR2
1 10 5 0.25 0.055049 0.31351

--------------------------------------------
| 엑셀(EXCEL)과 SAS 함수(SAS Function) 비교 리스트 링크 |
| SAS 함수(SAS Function) 리스트 링크 |
반응형
'통계프로그램 비교 시리즈 > 엑셀과 SAS 함수' 카테고리의 다른 글
| 【엑셀(Excel)과 SAS함수】 NOMINAL 함수 (0) | 2021.09.23 |
|---|---|
| 【엑셀(Excel)과 SAS함수】 NEGBINOMDIST 함수 (0) | 2021.09.23 |
| 【엑셀(Excel)과 SAS함수】 N 함수 (0) | 2021.09.23 |
| 【엑셀(Excel)과 SAS함수】 MUNIT 함수 (0) | 2021.09.23 |
| 【엑셀(Excel)과 SAS함수】 MULTINOMIAL 함수 (0) | 2021.09.23 |
댓글