포스팅 목차
o TO_CHAR (character)
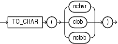
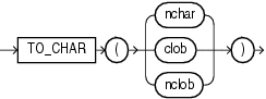
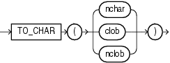
문법
to_char_char::=

목적
TO_CHAR(character) 함수는 NCHAR, NVARCHAR2, CLOB, NCLOB 데이터를 데이터 베이스 문자 세트로 변환한다. (문자변환함수)
관련 함수
| 함수명 | 함수내용 |
| CAST | 데이터 형식이나 collection 형식을 다른 데이터 형식이나 collection 형식으로 변환한다. |
| CONVERT | 데이터 베이스 문자 세트를 다른 문자 세트의 문자열로 변환한다. |
| TO_CHAR (character) | NCHAR, NVARCHAR2, CLOB, NCLOB 데이터를 데이터 베이스 문자 세트로 변환한다. |
| TO_CHAR (datetime) | 날짜형 데이터를 문자열로 변환하는 함수이다. |
| TO_CHAR (number) | 수치형 데이터를 문자열로 변환하는 함수이다. |
| TO_CLOB | LOB열(LOB column)에 존재하는 LCLOB 값 또는 다른 문자열의 값을 CLOB 타입으로 형 변환 작업을 수행한다. |
| TO_DATE | 문자형 날짜 데이터를 날짜형 데이터로 변환하는 함수이다. |
| TO_NCHAR (character) | 문자열,CLOB,NCLOB 값을 자국어 문자 세트(National character set)로 변환한다. |
| TO_NCHAR (datetime) | 날짜 데이터형태의 데이터를 데이터베이스 문자 세트(Database character set) 형태에서 자국어 문자 세트(National character set) 형태로 변환한다. |
| TO_NCHAR (number) | 수치형 인수 n을 자국어 문자 세트(National character set) 형태의 문자열로 변환한다. |
| TO_NCLOB | LOB열 또는 다른 문자열에 존재하는 CLOB값을 NCLOB값으로 변환한다. |
| TO_NUMBER | 인수 expr을 NUMBER 데이터형의 값으로 변환한다. |
| UNISTR | 유니코드 형태의 텍스트 문자열을 인수로 입력받아서 자국어 문자 세트(National character set) 형태로 인코딩 된 문자열을 반환한다. |
예제
다음 예제는 단순 문자열을 문자 데이터로 변환한다.
| Oracle Program |
SELECT TO_CHAR('01110')
FROM DUAL;
| Results |
TO_CH
-----
01110
다음 예제와 TO_CHAR (number)의 처음 예제를 비교해서 보자.
다음 예제는 pm.print_media로부터 CLOB데이터를 데이터 베이스 문자 세트로 변환한다.
| Oracle Program |
SELECT TO_CHAR(ad_sourcetext)
FROM print_media
WHERE product_id = 2268;
| Results |
TO_CHAR(AD_SOURCETEXT)
--------------------------------------------------------------------
******************************
TIGER2 2268...Standard Hayes Compatible Modem
Product ID: 2268
The #1 selling modem in the universe! Tiger2's modem includes call management
and Internet voicing. Make real-time full duplex phone calls at the same time
you're online.
**********************************
| 오라클 SQL 함수(Oracle SQL Function) 목록 리스트 링크 |
| [SQL, Pandas, R Prog, Dplyr, SQLDF, PANDASQL, DATA.TABLE] SQL EMP 예제로 만나는 테이블 데이터 처리 방법 리스트 링크 |
반응형
'오라클 게시판 > 오라클 함수' 카테고리의 다른 글
| 【오라클(Oracle) SQL 함수】 TO_CHAR (number) 함수 (0) | 2021.10.21 |
|---|---|
| 【오라클(Oracle) SQL 함수】 TO_CHAR (datetime) 함수 (0) | 2021.10.21 |
| [오라클 SQL 함수] TO_BINARY_FLOAT 함수 (0) | 2021.10.21 |
| [오라클 SQL 함수] TO_BINARY_DOUBLE 함수 (0) | 2021.10.21 |
| [오라클 SQL 함수] TIMESTAMP_TO_SCN 함수 (0) | 2021.10.21 |
댓글