포스팅 목차
o TO_NCHAR (character)
문법
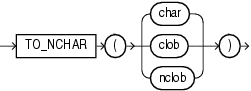
to_nchar_char::=

목적
TO_NCHAR (character)함수는 문자열,CLOB,NCLOB 값을 자국어 문자 세트(National character set)로 변환한다.
이 함수는 자국어 문자 세트에서 USING 절을 지정한 TRANSLATE...USING 함수와 동일하다.
관련 함수
| 함수명 | 함수내용 |
| CAST |
데이터 형식이나 collection 형식을 다른 데이터 형식이나 collection 형식으로 변환한다. |
| CONVERT | 데이터 베이스 문자 세트를 다른 문자 세트의 문자열로 변환한다. |
| TO_CHAR (character) | NCHAR, NVARCHAR2, CLOB, NCLOB 데이터를 데이터 베이스 문자 세트로 변환한다. |
| TO_CHAR (datetime) | 날짜형 데이터를 문자열로 변환하는 함수이다. |
| TO_CHAR (number) | 수치형 데이터를 문자열로 변환하는 함수이다. |
| TO_CLOB | LOB열(LOB column)에 존재하는 LCLOB 값 또는 다른 문자열의 값을 CLOB 타입으로 형 변환 작업을 수행한다. |
| TO_DATE | 문자형 날짜 데이터를 날짜형 데이터로 변환하는 함수이다. |
| TO_NCHAR (character) | 문자열,CLOB,NCLOB 값을 자국어 문자 세트(National character set)로 변환한다. |
| TO_NCHAR (datetime) | 날짜 데이터형태의 데이터를 데이터베이스 문자 세트(Database character set) 형태에서 자국어 문자 세트(National character set) 형태로 변환한다. |
| TO_NCHAR (number) | 수치형 인수 n을 자국어 문자 세트(National character set) 형태의 문자열로 변환한다. |
| TO_NCLOB | LOB열 또는 다른 문자열에 존재하는 CLOB값을 NCLOB값으로 변환한다. |
| TO_NUMBER | 인수 expr을 NUMBER 데이터형의 값으로 변환한다. |
| UNISTR | 유니코드 형태의 텍스트 문자열을 인수로 입력받아서 자국어 문자 세트(National character set) 형태로 인코딩 된 문자열을 반환한다. |
예제
다음 예제는 pm.print_media테이블로부터 NCLOB 데이터를 national character set 으로 변환한다.
| Oracle Program |
SELECT TO_NCHAR(ad_fltextn)
FROM print_media
WHERE product_id = 3106;
| Results |
TO_NCHAR(AD_FLTEXTN)
------------------------------------------------------------------------
TIGER2 Tastaturen...weltweit fuehrend in Computer-Ergonomie.
TIGER2 3106 Tastatur
Product Nummer: 3106
Nur 39 EURO!
Die Tastatur KB 101/CH-DE ist eine Standard PC/AT Tastatur mit 102 Tasten. Tasta
turbelegung: Schweizerdeutsch.
. NEU: Kommt mit ergonomischer Schaumstoffunterlage.
. Extraflache und ergonimisch-geknickte Versionen verfugbar auf Anfrage.
. Lieferbar in Elfenbein, Rot oder Schwarz.
| Oracle Program |
SELECT TO_NCHAR(cust_last_name)
FROM customers
WHERE customer_id=103;
| Results |
TO_NCHAR(CUST_LAST_NAME)
--------------------------------------------------
Taylor
| 오라클 SQL 함수(Oracle SQL Function) 목록 리스트 링크 |
| [SQL, Pandas, R Prog, Dplyr, SQLDF, PANDASQL, DATA.TABLE] SQL EMP 예제로 만나는 테이블 데이터 처리 방법 리스트 링크 |
반응형
'오라클 게시판 > 오라클 함수' 카테고리의 다른 글
| 【오라클(Oracle) SQL 함수】 TO_NCHAR (number) 함수 (0) | 2021.10.22 |
|---|---|
| 【오라클(Oracle) SQL 함수】 TO_NCHAR (datetime) 함수 (0) | 2021.10.22 |
| 【오라클(Oracle) SQL 함수】 TO_MULTI_BYTE 함수 (0) | 2021.10.22 |
| 【오라클(Oracle) SQL 함수】 TO_LOB 함수 (0) | 2021.10.22 |
| 【오라클(Oracle) SQL 함수】 TO_DSINTERVAL 함수 (0) | 2021.10.22 |
댓글