포스팅 목차
o STATS_BINOMIAL_TEST
문법
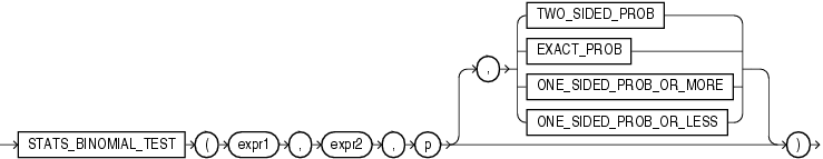
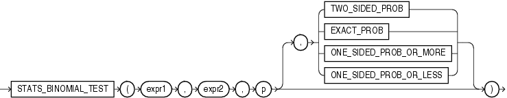
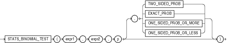
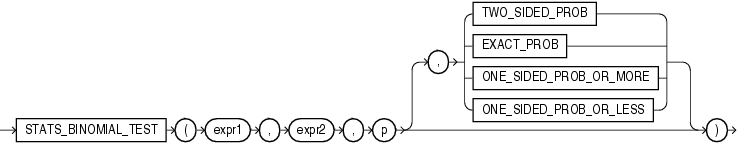
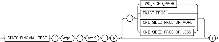
stats_binomial_test::=

목적
STATS_BINOMIAL_TEST함수는 두 개의 유효한 값이 존재하는 이분형 변수(이분 변수, 두 개의 배타적인 값을 가지는 변수)에 대해서 동질성 검증을 위한 정확도 검증 작업(Exact probability test)을 수행한다.
표본 비율과 주어진 비율 사이의 차이를 검정한다. 이 검정에서는 표본 크기가 작은 경우에도 이용된다.
이 함수는 4개의 인수를 취한다.
- expr1은 시험을 위한 표본이다.
- expr2은 비율이 기대되는 값이나 p는 테스트의 기준이 되는 비율을 가진다.
4번째 인수는 VARCHAR2 형태를 반환되는 값이다. 만약 4번째 인수를 생략하면, 기본값은 TWO_SIDED_PROB이다. 반환되는 값의 의미는 아래와 같다.
Table 7-3 STATS_BINOMIAL Return Values
| Return Value | Meaning |
| TWO_SIDED_PROB | 지정된 모집단의 비율 P가 관측된 비율 또는 더 극단치가 될 확률. |
| EXACT_PROB | 지정된 모집단의 비율 P가 관측된 비율과 정확하게 같이 되는 확률 |
| ONE_SIDED_PROB_OR_MORE | 지정된 모집단의 비율 P가 관측된 비율 이상이 되는 확률 |
| ONE_SIDED_PROB_OR_LESS | 지정된 모집단의 비율 P가 관측된 비율 이하가 되는 확률 |
EXACT_PROB는 정확하게 비율 p의 확률이 주어진다. 표본에서 비율이 50-50 분할과 유의적으로 차이가 있는지 통상적으로 p를 0.50으로 설정한다. 만약 비율이 다를 경우 테스트를 원한다면, 반환값 TWO_SIDED_PROB를 이용한다. 만약 비율이 expr2의 값보다 더 큰지 테스트를 원한다면, 반환값 ONE_SIDED_PROB_OR_MORE를 사용한다. 만약 비율이 expr2의 값보다 작은지 테스트를 원한다면, 반환값 ONE_SIDED_PROB_OR_LESS를 사용한다.
관련 함수
| 함수명 | 함수내용 |
| STATS_BINOMIAL_TEST | 두 개의 유효한 값이 존재하는 이분형 변수(이분 변수, 두 개의 배타적인 값을 가지는 변수)에 대해서 동질성 검증을 위한 정확도 검증 작업(Exact probability test)을 수행한다. |
| STATS_CROSSTAB | 두 개의 명목 변수를 분석하는 방법이다. |
| STATS_F_TEST | 두 개의 분산이 유의한 차가 있는지 테스트(F 검정)한다. |
| STATS_KS_TEST | 두 개의 표본이 같은 모집단에 속하고 있는지 또는 동일한 분포를 가지는 모집단에 속하고 있는지 테스트하는 Kolmogorov-Smirnov함수이다. |
| STATS_MODE | 값의 집합을 인수로 취하여, 가장 큰 빈도를 가지는 값(최빈값, mode)을 반환한다. |
| STATS_MW_TEST | A Mann Whitney test는 2개의 독립 표본(independent samples)을 비교한다. |
| STATS_ONE_WAY_ANOVA | 일원분산분석 함수(STATS_ONE_WAY_ANOVA)는 분산의 다른 2개 추정치 비교하여 통계적 유의성에 대한 평균(그룹 또는 변수에 대한)의 유의한 차이를 검증한다. |
| STATS_T_TEST_* | t검정은 평균의 차이의 유의성을 측정한다.
|
| STATS_WSR_TEST | 대응쌍 표본의 윌콕스 부호 순위 검증(Wilcoxon Signed Ranks test)을 수행하여 표본간의 차이가 유의한 차이가 있는지 여부를 검정한다. |
예제
- STATS_BINOMIAL_TEST 예제
다음 예제는 모집단의 69%가 남성이라고 가정하에 관측된 남성의 수와 정확하게 동일하게 일치되는지 여부에 대한 확률을 판단한다.
| Oracle Program |
SELECT AVG(DECODE(cust_gender, 'M', 1, 0)) real_proportion,
STATS_BINOMIAL_TEST(cust_gender, 'M', 0.68, 'EXACT_PROB') exact,
STATS_BINOMIAL_TEST(cust_gender, 'M', 0.68, 'ONE_SIDED_PROB_OR_LESS') prob_or_less
FROM sh.customers;
| 오라클 SQL 함수(Oracle SQL Function) 목록 리스트 링크 |
| [SQL, Pandas, R Prog, Dplyr, SQLDF, PANDASQL, DATA.TABLE] SQL EMP 예제로 만나는 테이블 데이터 처리 방법 리스트 링크 |
반응형
'오라클 게시판 > 오라클 함수' 카테고리의 다른 글
| 【오라클(Oracle) SQL 함수】 STATS_CROSSTAB 함수 (0) | 2021.10.20 |
|---|---|
| [오라클 SQL 함수] SOUNDEX 함수 (0) | 2021.10.20 |
| 【오라클(Oracle) SQL 함수】 SQRT 함수 (0) | 2021.10.20 |
| 【오라클(Oracle) SQL 함수】 SINH 함수 (0) | 2021.10.20 |
| 【오라클(Oracle) SQL 함수】 SIN 함수 (0) | 2021.10.20 |
댓글