포스팅 목차
o STATS_MW_TEST
문법
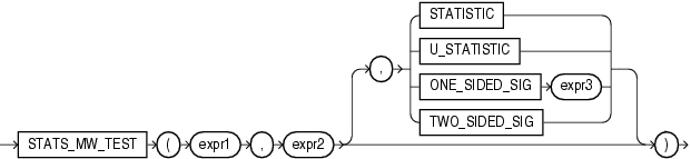
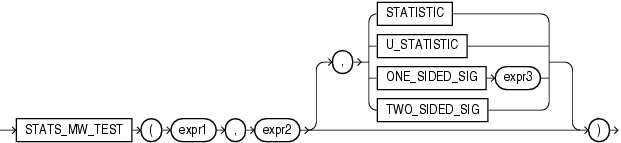
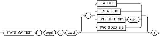
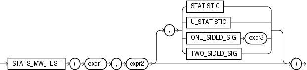
stats_mw_test::=

목적
A Mann Whitney test는 2개의 독립 표본(independent samples)을 비교한다.
- 귀무가설 : 두 모집단은 같은 분포 함수를 가진다.
- 대립가설 : 두 분포 함수는 다르다.
STATS_MW_TEST는 STATS_T_TEST_* 함수처럼 표본 간의 차이가 정규분포라는 가정을 하지 않는다. 이 함수는 3개의 인수를 취하고, VARCHAR2 타입의 값을 반환한다. expr1은 그룹에서 데이터를 구분한다. expr2는 그룹의 값을 지정한다. 함수는 3번째 인수에 의해 정의되는 값에 따라 하나의 값을 반환한다. 만약 세 번째 인수를 생략하면, 기본적으로 TWO_SIDED_SIG가 된다.
Table 7-7 STATS_MW_TEST Return Values
| STATISTIC | Z의 관측값. |
| U_STATISTIC | U의 관측값. |
| ONE_SIDED_SIG | Z의 한쪽 유의성 |
| TWO_SIDED_SIG | Z의 양측 유의성 |
STATS_MW_TEST함수는 값의 순위의 합계에 있어서 차이를 확인하여서, 표본이 같은 분포인지의 확률을 계산한다. 만약 표본이 동일한 분포에서 추출된 경우 각 표본의 합계는 값이 비슷해야 한다.
관련 함수
| 함수명 | 함수내용 |
| STATS_BINOMIAL_TEST | 두 개의 유효한 값이 존재하는 이분형 변수(이분 변수, 두 개의 배타적인 값을 가지는 변수)에 대해서 동질성 검증을 위한 정확도 검증 작업(Exact probability test)을 수행한다. |
| STATS_CROSSTAB | 두 개의 명목 변수를 분석하는 방법이다. |
| STATS_F_TEST | 두 개의 분산이 유의한 차가 있는지 테스트(F 검정)한다. |
| STATS_KS_TEST | 두 개의 표본이 같은 모집단에 속하고 있는지 또는 동일한 분포를 가지는 모집단에 속하고 있는지 테스트하는 Kolmogorov-Smirnov함수이다. |
| STATS_MODE | 값의 집합을 인수로 취하여, 가장 큰 빈도를 가지는 값(최빈값, mode)을 반환한다. |
| STATS_MW_TEST | A Mann Whitney test는 2개의 독립 표본(independent samples)을 비교한다. |
| STATS_ONE_WAY_ANOVA | 일원분산분석 함수(STATS_ONE_WAY_ANOVA)는 분산의 다른 2개 추정치 비교하여 통계적 유의성에 대한 평균(그룹 또는 변수에 대한)의 유의한 차이를 검증한다. |
| STATS_T_TEST_* | t검정은 평균의 차이의 유의성을 측정한다.
|
| STATS_WSR_TEST | 대응쌍 표본의 윌콕스 부호 순위 검증(Wilcoxon Signed Ranks test)을 수행하여 표본간의 차이가 유의한 차이가 있는지 여부를 검정한다. |
예제
- STATS_MW_TEST 예제
Mann Whitney 검정을 이용하여서, 다음 예제는 남성과 여성 사이의 판매 분포 차이가 우연에 의한 것이지 여부(우연성 여부)를 판단한다.
| Oracle Program |
SELECT STATS_MW_TEST(cust_gender, amount_sold, 'STATISTIC') z_statistic,
STATS_MW_TEST(cust_gender, amount_sold, 'ONE_SIDED_SIG') one_sided_p_value
FROM sh.customers c, sh.sales s
WHERE c.cust_id = s.cust_id;
| Results |
Z_STATISTIC ONE_SIDED_P_VALUE
----------- -----------------
-1.4011509 .080584471
| 오라클 SQL 함수(Oracle SQL Function) 목록 리스트 링크 |
| [SQL, Pandas, R Prog, Dplyr, SQLDF, PANDASQL, DATA.TABLE] SQL EMP 예제로 만나는 테이블 데이터 처리 방법 리스트 링크 |
반응형
'오라클 게시판 > 오라클 함수' 카테고리의 다른 글
| 【오라클(Oracle) SQL 함수】 STATS_T_TEST_* 함수 (0) | 2021.10.20 |
|---|---|
| 【오라클(Oracle) SQL 함수】 STATS_ONE_WAY_ANOVA 함수 (0) | 2021.10.20 |
| 【오라클(Oracle) SQL 함수】 STATS_MODE 함수 (0) | 2021.10.20 |
| 【오라클(Oracle) SQL 함수】 STATS_KS_TEST 함수 (0) | 2021.10.20 |
| 【오라클(Oracle) SQL 함수】 STATS_F_TEST 함수 (0) | 2021.10.20 |
댓글